ताजा खबर

झीरमकांड: नड्डा के खिलाफ शिकायत, भूपेश-कवासी के नार्को टेस्ट की मांग
01-Jan-2026 3:47 PM
झीरमकांड: नड्डा के खिलाफ शिकायत, भूपेश-कवासी के नार्को टेस्ट की मांग

 कांग्रेस प्रवक्ता विकास तिवारी ने न्यायिक जांच आयोग को लिखा

‘छत्तीसगढ़’ संवाददाता

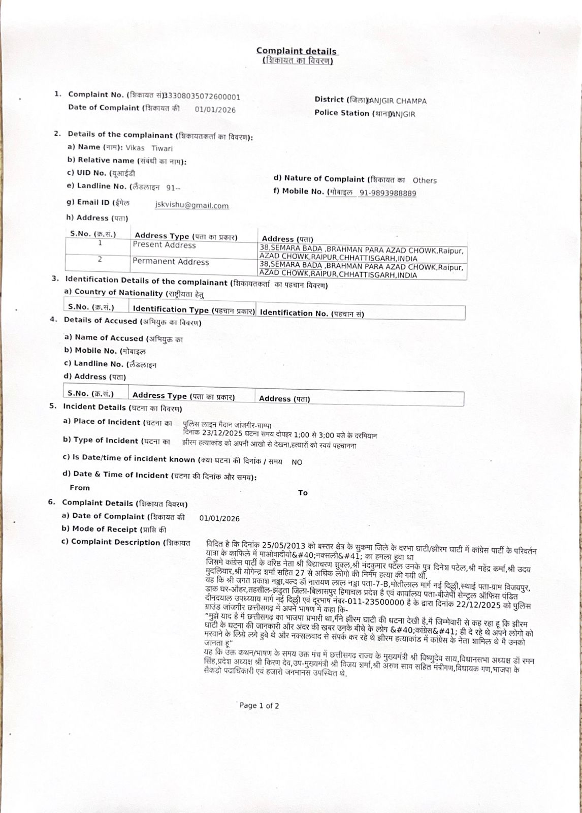
रायपुर, 1 जनवरी। झीरम नक्सल कांड पर एक बार फिर राजनीति गरमा गई है। इस कड़ी में कांग्रेस प्रवक्ता विकास तिवारी ने भाजपा के राष्ट्रीय अध्यक्ष जेपी नड्डा के खिलाफ थाने में रिपोर्ट दर्ज कराई है। साथ ही अपनी पार्टी के नेता पूर्व सीएम भूपेश बघेल, पूर्व मंत्री कवासी लखमा और जनता कांग्रेस के अध्यक्ष अमित जोगी के नार्को टेस्ट की मांग की है।

कांग्रेस प्रवक्ता विकास तिवारी ने जांजगीर थाने में भाजपा के राष्ट्रीय अध्यक्ष नड्डा के खिलाफ शिकायत की है। शिकायत में यह कहा कि विगत 23 दिसंबर की जांजगीर की जनसभा में नड्डा ने कहा है कि उन्हें झीरम घाटी की घटना के जानकारी है। झीरम हत्याकांड में कांग्रेस के लोग शामिल थे। वो उन्हें जानते हैं। तिवारी ने इस पूरे मामले में नड्डा से पूछताछ का आग्रह किया है।

 

 इससे पूर्व विकास तिवारी ने झीरम घाटी न्यायिक जांच आयोग को पत्र लिखकर नड्डा के साथ-साथ पूर्व सीएम भूपेश बघेल, पूर्व मंत्री कवासी लखमा, अमित जोगी, पूर्व गृहमंत्री ननकीराम कंवर, और सीएम विष्णुदेव साय का नार्को टेस्ट कराने का आग्रह किया है। तिवारी ने कहा कि वो खुद इसके लिए तैयार हैं। पूर्व सीएम बघेल ने सार्वजनिक रूप से कहा था कि  झीरम कांड के सबूत उनके जेब में है जिसे वह न्यायिक जांच आयोग के सामने प्रस्तुत करेंगे। तिवारी ने कहा कि सभी का नार्को टेस्ट करवाकर शहीदों के परिजनों, और आम जनता के समक्ष प्रस्तुत करें। ताकि झीरम के साजिशकर्ता पर कार्रवाई हो सके।


अन्य पोस्ट