ताजा खबर
रायपुर, 27 फरवरी। होली पर यात्रियों की सुविधा के लिए 02, 03, 05 एवं 06 फरवरी को 08834/08833 दुर्ग - रायगढ़ - दुर्ग के मध्य 04 फेरे के लिए होली मेमू पैसेंजर स्पेशल ट्रेन की सुविधा दी जा रही हैं ।
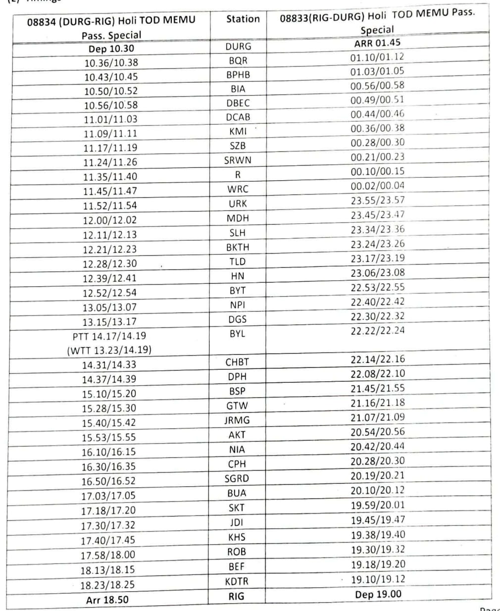
गाड़ी संख्या 08834 दुर्ग रायगढ़ मेमू पैसेंजर गाड़ी दुर्ग से 10:30 बजे रवाना होकर 10:36 बजे भिलाई नगर 10.43 बजे भिलाई पावर हाउस 10:50 बजे भिलाई 10.56 बजे देवबलोदा चरोदा, 11:09बजे कुम्हारी, 11:17 बजे सरोना 11.24 बजे सरस्वती नगर, 11.35 बजे रायपुर 11:45 बजे डब्ल्यूआरएस, 11:52 बजे उरकुरा, 12:00 मांडर,12:11 बजे सिलियारी, 12.21 बजे बैकुंठ 12:28 बजे तिल्दा नेवरा, 12.39 बजे हथबंद, 12:52 बजे भाटापारा, 13.05 बजे निपानिया, 13.15 बजे दागोरी, 13.23 बजे बिल्हा, 14.31 बजे चक्करभाटा 14.37 बजे दाधापारा,15.10 बजे बिलासपुर, 15.28 बजे गतौरा, 15:40 बजे जयरामनगर, 15.53 बजे अकलतरा, 16:10 बजे जांजगीर नैला, 16:30 बजे चांपा, 16:50 सारागांव देवरी, 17:03 बजे बुढार, 17.18 बजे सक्ती, 17:30 जारडीह, 17.40 बजे खरसिया, 17.58 बजे रॉबर्टसन, 18: 13 बजे भूपदेवपुर, 18.23 बजे किरोड़ीमल नगर, 18:50 बजे रायगढ़।
दिनांक 02, 03, 05 एवं 06 फरवरी 2026 को वापसी में गाड़ी संख्या 08833 रायगढ़- दुर्ग मेमू पैसेंजर स्पेशल रायगढ़ से 19:00 रवाना होकर उपरोक्त सभी स्टेशनों पर रुकते हुए बिलासपुर 21.45 बजे एवं रायपुर 00:10 बजे और दुर्ग अगले दिन 01.45 बजे पहुंचेगी।
इस गाड़ी में आठ कर मेमू रैक रहेंगे।
इसकी विस्तृत समय सारणी निम्न अनुसार है:-


